A ordem das operações altera, sim, o resultado: como resolver problemas virais de matemática
O último a se popularizar confundiu até mesmo algumas calculadoras

Uma operação aritmética virou de cabeça para baixo o canto sossegado que costuma ser a matemática no Twitter, mas também é uma ótima oportunidade para se falar sobre a ordem das operações. Na aparência, é simples: 8/2 (2 + 2). No entanto, o tuíte original acumula mais de 20.000 respostas em pouco mais de uma semana.
oomfies solve this pic.twitter.com/0RO5zTJjKk
— ً (@pjmdolI) July 28, 2019
Poderíamos terminar logo: a ordem para realizar as operações é parênteses, potências, multiplicações e divisões e adição e subtração. As conjunções de ligação na sentença anterior estão bem posicionadas. "Multiplicações e divisões" e "adição e subtração" têm a mesma prioridade. Portanto, se você as encontrar juntas, terá que fazê-las da esquerda para a direita, assim como se lê.
Pronto, você já sabe como resolver uma parte importante dos problemas virais no Twitter e no Facebook, aqueles que tentam confundir quem não se lembra de qual é a ordem a seguir nesses casos.
Vamos ver um exemplo que ainda não viralizou nas redes:
3 - 2 + 1 dá um resultado igual a 2, porque se começa da esquerda para a direita, e ninguém vai pensar em adicionar 2 a 1 antes de fazer a diferença, espero, porque seria errado.
No problema que viralizou acontece a mesma coisa:
8 / 2 (2 + 2)
8 / 2 (4)
8 / 2 · 4
4 · 4
16
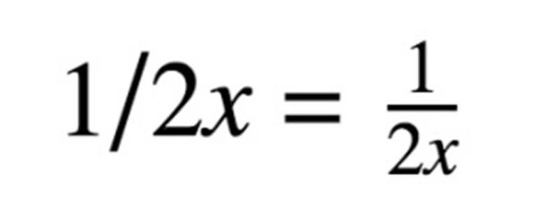
E então, como foi possível causar tanta polêmica? Bem, porque há uma pequena exceção (e não tem nada a ver com as regras mnemotécnicas PEMDAS ou BODMAS, que explicarei mais abaixo), e é que entre o 2 e o parênteses não há nenhum sinal. Isso é interpretado como uma multiplicação, por isso, ao tirar os parênteses se coloca o ponto, mas, na escrita de expressões algébricas (quando misturamos números e letras), isso poderia ser entendido de outra maneira, especificamente, assim:

Ou seja, poderíamos interpretar, se isso não fossem números, mas se houvessem letras, que o que aparece à direita da barra divisória é tudo denominador, ou seja:

Essa é a razão que levou uma calculadora científica a fornecer esse resultado ao se digitar a operação. Porque ela conduz a operação aritmética como se fosse uma expressão algébrica. Como digo, é a única sutileza desta questão, motivada pela ambiguidade de não se colocar nenhum sinal de pontuação entre o 2 e o parênteses e que geralmente só interpretamos assim em contextos algébricos, não em aritmética.
Wait... https://t.co/0xaE4dJuTz pic.twitter.com/9DwOQSzqq5
— LUZZZ (@celestiallight_) July 30, 2019
Por que a ordem das operações importa?
PEMDAS é a sigla em inglês de parênteses, expoentes, multiplicação/divisão, adição/subtração, que é exatamente o que eu já disse. Aqui a multiplicação não tem nenhuma prioridade sobre a divisão, nem tampouco a soma ou adição sobre a subtração. Quando essa regra mnemotécnica é ensinada às crianças de língua inglesa, costuma ser citada a frase “Please Excuse My Dear Aunt Sally”.
BODMAS é a regra mnemotécnica usada pela maioria das crianças inglesas, indianas, bengalis e australianas. Eles representam parênteses (brackets), expoentes (order), divisão/multiplicação, adição/subtração. Como isso de chamar expoentes parece estranho até para eles, às vezes aparece BIDMAS, em que o I vem de índices.
As regras mnemotécnicas são adotadas para ajudar os alunos a lembrar, mas é claro que também são usadas para confundir, já que numerosos artigos publicados desde que apareceu este alvoroço do momento chegaram a acreditar que a ordem em que o M e o D se apresentavam na regra anglo-saxônica da vez tinha influência em se as multiplicações e divisões são feitas ali de forma diferente, e não é assim.
O motivo da ordem em que realizamos as operações ser praticamente o mesmo em todo o mundo é o significado das operações aritméticas. Ou seja, a multiplicação significa “adição reiterada” e, portanto, 5x3 vale 3 + 3 + 3 + 3 + 3 (ou 5 + 5 + 5). Isto implica que quando você vê 3 + 2x5, você deve primeiro calcular o “duas vezes cinco”, porque esse é o seu significado.
O mesmo acontece com a potência, que tem sua origem na multiplicação repetida. Assim, 2x3 4 deve ser entendido como 2 vezes 3 multiplicado por si mesmo quatro vezes. Se você quiser que seja interpretado como seis elevado a 4 (ou multiplicado por si mesmo quatro vezes), você deve colocar um parêntese, (2x3)4.
É por tudo isso que a primeira coisa que deve ser abordada são os parênteses, porque eles significam que quem escreveu a operação queria alterar a ordem "natural" das operações. Depois, os expoentes, e então as multiplicações (e divisões, que nada mais são do que suas operações inversas) e as adições (e subtrações, que são suas operações inversas).
Quando eu digo no parágrafo anterior "operações inversas" quero dizer que a subtração é uma "soma disfarçada" e que me perguntar 8-5 é equivalente a me perguntar qual o número que adicionado a 5 dá 8, ou seja, 5 + x = 8. Ocorre o mesmo com a divisão 12: 4, que é equivalente a "qual número multiplicado por 4 dá 12?" É por isso que multiplicação e divisão, adição e subtração, têm a mesma ordem de prioridade e, no caso de várias operações consecutivas, são resolvidas da esquerda para a direita.
Para os leitores que ficaram com vontade de saber mais, há este site em que a ordem dos fatores é alterada e se resolve primeiro a divisão! Para conseguir ser capaz de fazer operações de cabeça com fatores menores. Há alguns outros truques e links para praticar a ordem das operações.
Tu suscripción se está usando en otro dispositivo
¿Quieres añadir otro usuario a tu suscripción?
Si continúas leyendo en este dispositivo, no se podrá leer en el otro.
FlechaTu suscripción se está usando en otro dispositivo y solo puedes acceder a EL PAÍS desde un dispositivo a la vez.
Si quieres compartir tu cuenta, cambia tu suscripción a la modalidad Premium, así podrás añadir otro usuario. Cada uno accederá con su propia cuenta de email, lo que os permitirá personalizar vuestra experiencia en EL PAÍS.
¿Tienes una suscripción de empresa? Accede aquí para contratar más cuentas.
En el caso de no saber quién está usando tu cuenta, te recomendamos cambiar tu contraseña aquí.
Si decides continuar compartiendo tu cuenta, este mensaje se mostrará en tu dispositivo y en el de la otra persona que está usando tu cuenta de forma indefinida, afectando a tu experiencia de lectura. Puedes consultar aquí los términos y condiciones de la suscripción digital.













































